Bei Shapeheart mögen wir Berechnungen.
Deshalb bitten wir sie zu erklären, wie unser patentiertes Magnetsystem mehr als 8 kg heben kann und dennoch der Windgeschwindigkeit standhält.
Und das alles erklären wir euch auch im Video 👉

Bilden
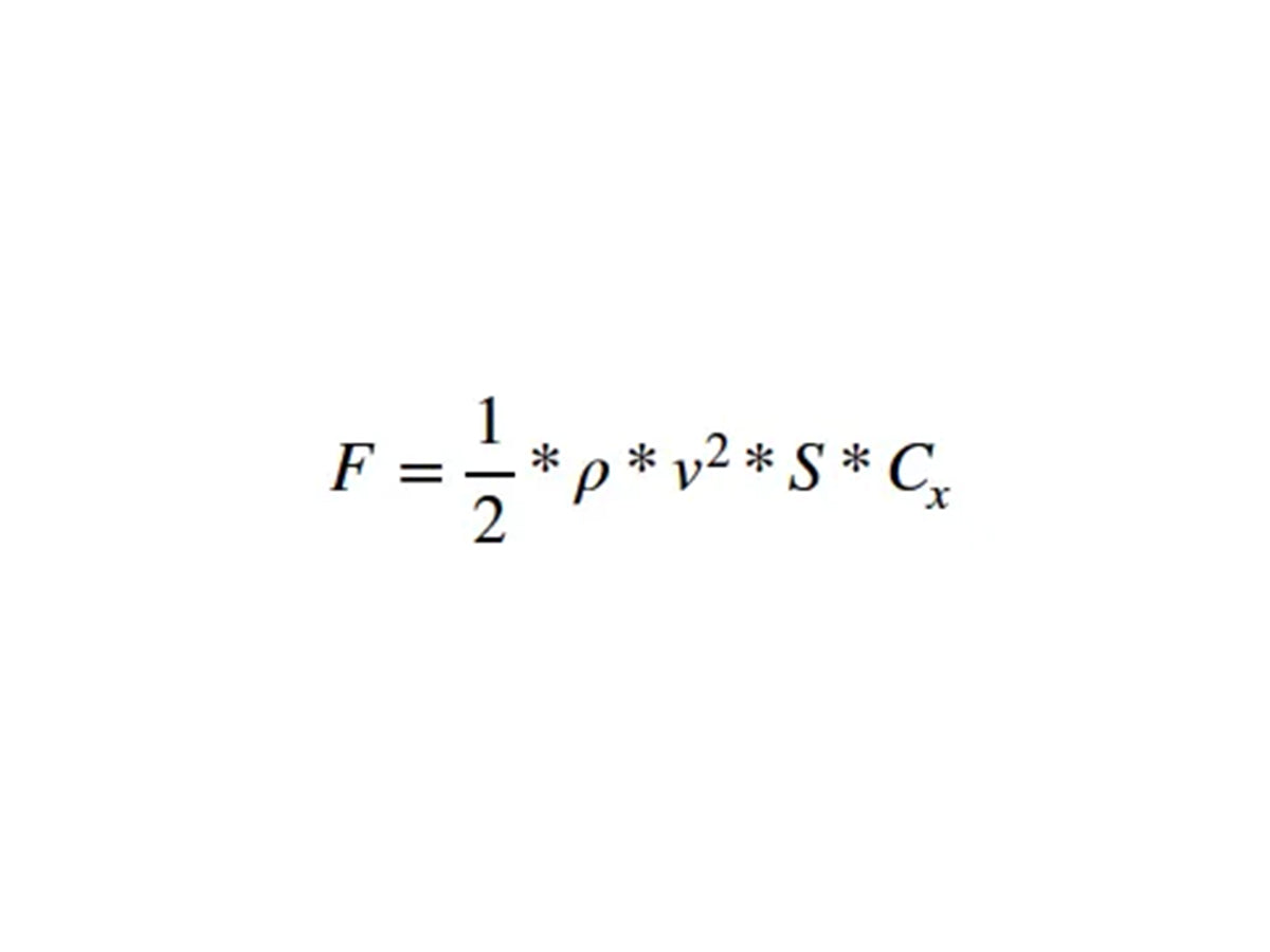
Bei turbulenter Strömung wird die vom Wind auf die Tasche ausgeübte Kraft als entgegengesetzt ausgedrückt.
Keine Panik, im Folgenden beschreiben wir alle Parameter:
• r ist die Dichte der Luft = 1,292 kg.m-3
• v ist die Geschwindigkeit in ms-1
• S die Oberfläche des Beutels = 18 * 10 cm2
• Cx der Luftwiderstandsbeiwert = 1,1
• F ist die in Newton ausgedrückte Kraft

Für 8 kg = 80 N (N für Newton) Kraft unseres Magnetsystems ergibt sich die maximale theoretische Geschwindigkeit daher mit der Formel:.

Maximale theoretische Geschwindigkeit
Wenn wir diese Kurve verfolgen, erhalten wir:
in Y: Geschwindigkeit
in X: die Magnetisierungskraft in N

Das ergibt bei 80 N bzw. 8 kg Kraft des Magnetsystems eine Geschwindigkeit von 285 km/h:
Beachten Sie, dass diese Geschwindigkeit in Wirklichkeit wahrscheinlich doppelt so hoch ist:
Das Telefon bewegt sich nie im 90°-Winkel (vertikal) zum Wind, sondern bei 45° bricht die Struktur des Motorrads und verlangsamt den Luftstrom in der Nähe des Lenkers
